Un mystère de taille stellaire : l’origine de la masse des étoiles
Les étoiles. Elles illuminent le ciel depuis l’aube des temps. Depuis son apparition sur Terre, l’humain, lui, s’interroge et les interroge sur leur présence. La science nous dit aujourd’hui qu’elles sont en réalité des sphères de gaz (principalement de l’hydrogène) sujettes à des réactions thermonucléaires de fusion.
L’astrophysique est la science des objets de l’Univers, notamment des étoiles. Même si cette science a résolu de nombreux mystères, ses grandes avancées sont relativement récentes. Par exemple, il aura fallu attendre les travaux de Marie Skłodowska-Curie sur la radioactivité en 1898, puis ceux d’Albert Einstein sur la relativité restreinte (la fameuse équation E=mc2, publiée en 1905) pour comprendre ce qu’est une étoile : un objet capable de réactions nucléaires, produisant de la lumière. En 1914, nous comprenons que de nombreuses galaxies peuplent l’Univers. En 1955, les travaux de Salpeter (voir ci-dessous) suggèrent que les étoiles se forment partout dans les mêmes proportions (petites, moyennes et grosses étoiles). C’est cette dernière croyance que les travaux que nous avons récemment publiés dans Nature Astronomy remettent en cause. Avant d’entrer dans les détails de nos travaux, un mot sur comment se forment les étoiles et sur les différents types d’étoiles que l’on rencontre dans l’Univers.
Cœurs denses
Nous savons que les étoiles se forment dans des nuages de gaz froid. Ces nuages font plusieurs dizaines d’années lumière de rayon. La turbulence qui règne en leur sein génère des « grumeaux » de gaz que l’on appelle des cœurs denses. La gravité, qui fait que toute particule ayant une masse attire (et est attirée par) les particules voisines, provoque la contraction du cœur dense. Sous l’effet de la gravité, il devient tellement dense, comprimé et chaud que des réactions thermonucléaires de fusion se déclenchent. La lumière jaillit, une étoile est née.
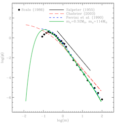
Or, puisque les cœurs denses n’ont pas tous la même masse, les étoiles ne naissent pas avec la même masse. Nous mesurons la masse d’une étoile par rapport à la masse de notre soleil, que nous notons 1 M☉ (lire « une masse solaire », c’est-à-dire une fois la masse du soleil). En observant les étoiles, et en les rangeant en fonction de leur masse on peut établir la distribution en masse des étoiles que l’on appelle fonction de masse initiale. C’est cette fonction initiale de masse, représentée ci-contre, que l’on pensait universelle depuis les travaux de l’américain Erwin Salpeter publiés en 1955.
Autrement dit, nous pensions qu’en toute partie de notre Galaxie et par extension dans toutes les galaxies, les étoiles se formaient toujours dans les mêmes proportions. Cette supposition, jamais démentie jusqu’alors était de première importance : cela impliquait qu’en étudiant la population d’étoile d’une masse donnée (certaines étoiles sont beaucoup plus faciles à observer que d’autres) on pouvait connaître la population de toutes les étoiles.
Pour bien comprendre, entrons dans le détail des différences qui existent entre les étoiles en fonction de leur masse, et des biais d’observation que cela implique :
Les naines brunes, dont la masse est inférieure à 0,08 M☉, ne sont pas le siège de réactions nucléaires. Elles sont « éteintes » et difficiles à observer dû à leur faible luminosité. En supposant que la fonction initiale de masse était universelle, nous pouvions déduire leur population à partir du comptage d’étoiles plus faciles à observer.
Les étoiles dites de « faible masse » dont la masse est comprise entre 0,08 M☉ et 8 M☉, tel que notre soleil, consumeront leur réserve de gaz avant de finir leur existence en géante rouge. Nous observons ces étoiles dans notre galaxie, la Voie lactée, et les galaxies proches. Elles laisseront derrière elles une naine blanche qui se refroidira lentement.
Les étoiles « massives » dont la masse est comprise entre 8 M☉ et 40 M☉ auront une vie beaucoup plus courte et beaucoup plus animée. Elles sont extrêmement brillantes pendant leur existence, plusieurs dizaines de milliers de fois plus que notre soleil. De fait, ces étoiles dominent la luminosité des galaxies et c’est principalement d’elles que provient la lumière (re-émise) que les télescopes captent lorsqu’ils observent les galaxies. Les étoiles massives terminent leur vie de façon cataclysmique sous la forme d’une supernova. La supernova laissera derrière elle une étoile à neutron.
Une étoile hyper-massive, dont la masse excède 40 M☉, connaîtra la même fin tragique en supernova que ses homologues massives, mais laissera derrière elle un trou noir (dit trou noir stellaire, en opposition aux trous noirs galactiques).
Etudier les étoiles massives
En supposant l’universalité de la fonction initiale de masse, nous pouvions connaître et étudier la population des étoiles des galaxies seulement par l’étude des étoiles les plus faciles à observer : les étoiles massives. La validité de l’universalité de la fonction initiale de masse d’étoiles était donc la base des études extra-galactiques s’intéressant à l’efficacité de formation stellaire ou aux populations d’étoiles en fonction de l’âge des galaxies.
Comme je l’ai décrit plus haut, les étoiles se forment dans des cœurs denses au sein de nuages moléculaires. Une étoile mettant plusieurs millions d’années à se former il est impossible d’observer « en direct » la formation des étoiles dans un nuage moléculaire. En revanche, puisque les étoiles se forment dans les cœurs denses on peut observer ces derniers pour « prédire » les étoiles que le nuage moléculaire va générer. C’est ce qu’on fait les astrophysiciens dans les années 2000 en observant les plus proches nuages moléculaires formant des étoiles : les nuages de la ceinture de Gould (en jaune sur la vue artistique de la Voie Lactée, ci-dessous).
Ils ont découvert que la fonction initiale de masse de cœurs denses (comptage des cœurs d’une masse donnée) avait la même forme que la fonction initiale de masse d’étoiles. Autrement dit, une étoile hérite de la masse du cœur dans lequel elle se forme. Cela conforte l’idée que la fonction de masse des étoiles est une loi universelle.
Avec l’avènement des grands radiotélescopes nous sommes maintenant en mesure d’observer des régions de formation d’étoiles beaucoup plus éloignées que les nuages de la ceinture de Gould. Notamment, le grand interféromètre ALMA qui a été construit dans le désert d’Atacama à quelques 5 100 m d’altitude nous permet de voir des régions où des étoiles massives se forment avec autant de détails que les observations d’il y a 20 ans dans la ceinture de Gould. En particulier, nous avons observé le nuage nommé W43 qui est représenté sur la vue artistique de la Voie lactée. L’image en tête de l’article montre la région W43 telle que vue par l’instrument ALMA.
Les ellipses noires montrent tous les cœurs denses qui sont en train de se former, et qui formeront des étoiles dans les quelques millions d’années à venir. Sans surprise, nous avons trouvé de nombreux cœurs « massifs » qui formeront sans nul doute des étoiles massives. Seulement, selon la fonction initiale de masse d’étoiles, la région W43 aurait dû abriter beaucoup plus de cœurs de masse intermédiaires et de faible masse.
Le graphique ci-dessous résume la distribution de la population de cœurs dans W43. L’histogramme en bleu indique le comptage des cœurs (nombre de cœurs ayant une masse donnée). La courbe rouge est l’ajustement à l’histogramme, c’est-à-dire la fonction mathématique qui représente le mieux les pics de l’histogramme. Enfin, la zone hachurée montre le domaine d’incertitude de l’ajustement. Il s’agit de la première observation montrant une différence nette entre la courbe en rouge et la pente théorique de la fonction initiale de masse des étoiles indiquée en magenta. Autrement dit, une entorse flagrante à l’universalité de la fonction initiale de masse.
Pour étayer ce résultat de première importance, un vaste projet d’observation a été mis en place. Au cours des prochaines années, l’interféromètre ALMA va observer de nombreuses autres régions de formation d’étoiles massives (tous les nuages indiqués en vert sur la vue artistique de la Voie lactée). L’enjeu, pour ces prochaines années, sera de comprendre les causes physiques de la non-universalité de la fonction initiale de masse des étoiles. Si cette recherche est intéressante en soi, de nombreuses thématiques sont en attentes des résultats qui en découleront : les études sur les naines brunes, les études extra-galactiques de formation stellaire, les études de population de trous noirs, etc.![]()
Fabien Louvet, Astronome, ingénieur, Universidad de Chile
Cet article est republié à partir de The Conversation sous licence Creative Commons. Lire l’article original.